若将某有序树t转换为二叉树t1,则t中结点的后(根)序序列就是t1中结点的()遍 - JRS直播
全国
重庆
福建
山西
宁夏
云南
海南
青海
北京
广东
湖北
安徽
河南
辽宁
陕西
西藏
上海
江苏
湖南
山东
四川
吉林
甘肃
新疆
天津
浙江
河北
江西
贵州
广西
内蒙古
黑龙江
软题库
移动APP
扫码下载APP
随时随地移动学习
培训课程
考试中心
首页
信管
集成
系规
安全
资讯
综合知识
案例分析
整体
范围
进度
成本
质量
人力
沟通
风险
采购
资料
经验
更多
论文
整体
范围
进度
成本
质量
人力
沟通
风险
采购
资料
经验
更多
备考经验
资料下载
培训课程
考试中心
每日一练
章节练习
历年真题
考试题库
俱乐部
论坛
当前位置:
JRS直播
>>
在线考试中心
>>
信息系统项目管理师题库
>> 试题查看
试卷名称
2008年上半年数据库系统工程师考试上午真题试题(综合知识)
考试中心
《2008年上半年数据库系统工程师考试上午真题试题(综合知识)》在线考试
试卷年份
2008年上半年
试题题型
【单选题】
试题内容
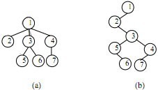
若将某有序树 T 转换为二叉树 T1,则 T 中结点的后(根)序序列就是 T1 中结点的 () 遍历序列。例如下图(a)所示的有序树转化为二叉树后如图(b)所示。
A.先序
B.中序
C.后序
D.层序
JRS直播参考答案:
B(仅供参考,欢迎评论交流)
JRS直播解析:
普通会员无法查看试题解析。[
开通试题解析服务
]
发表评论
查看完整评论
相关试题
更多试题
一个组织的管理者实施公司治理的最根本目的是(
实施质量控制过程的工具和技术包括以下所有,除
当光纤中的非线性效应和色散()时,可以形成光
我国在“十三五”规划纲要中指出要加快信息网络
Whichofthefollowingist
TD-SCDMA的路测流程为:、、、、。
为打击网络犯罪,公安人员使用的最重要的审计跟
在进度计划实施中,若某工作的进度偏差小于或等
系统集成合同管理是管理建设方和承建方的关系,
对于提供网络服务的内部网络,通常选择下列哪种
对于整个安全管理系统来说,应该将重点放在()
不要让天线正对玻璃墙、大幅岩石、广告牌等强反
根据挣值报告,项目已经完成了30%。一个确定
监理规划的作用之一是业主确认监理单位是否()
下面关于面向对象方法中消息的叙述,不正确的是
基于网络的入侵检测就是通过连接在网络上的站点
信息系统项目管理师
JRS直播专注信管中高级考试和培训服务10年,服务超30万考生,通过深入研究考试命题趋势和题型,为考生提供专业的培训服务。
邮送16种信息系统项目管理师学习资料及用品
资深讲师近80小时系统直播课程+课后配套习题
软考办指定教材作者线下面授(面授班)
每日一练、历年真题、考前VIP模拟题
计算题、运筹学、法律法规等重点、难点专题讲解
班主任督学+专职老师实时在线辅导答疑
案例分析专题讲解+历年案例真题讲解
论文专题讲解+范例讲解+论文押题批阅
信息系统项目管理师专业题库(电脑、APP、微信)
实力见证,全年服务学员超10000人
享受不过重学服务(高端班)
推荐文章
软考办网站
软考办
北京
天津
河北
山西
上海
江苏
浙江
安徽
湖北
湖南
广东
广西
云南
西藏
江西
陕西
福建
吉林
辽宁
海南
山东
河南
重庆
甘肃
四川
贵州
青海
新疆
宁夏
内蒙古
黑龙江
合作网站内容
注册消防考试网
|
网考网
|
软题库
推荐内容
10年专注信管,信管教育专注者,JRS直播优势
免费试听JRS直播信息系统项目管理师课程
全国前50名高分学员访谈:董丽(174)、李思...
信息系统项目管理师高端班培训课程
信管老师100小时直播课程
软考报名专题(报名时间、入口等)
中级系统集成项目管理工程师通关课程
系统规划与管理师课程(考试介绍与题型分析)
软题库:软考在线题库、支持手机答题
客服中心