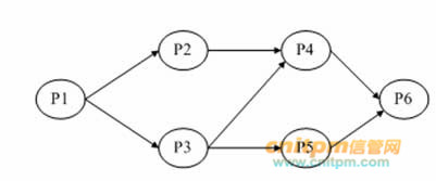
进程P1、P2、P3、P4、P5和P6的前趋图如下所示:
若用PV操作控制这6个进程的同步与互斥的程序如下,那么程序中的空a、空b和空c处应分别为(1);空d和空e处应分别为(2);空f和空g处应分别为(3)。
(1)A. V(S3)、P(S2)和V(S4)V(S5)
B. P(S3)、P(S2)和V(S4)V(S5)
C. V(S2)、P(S3)和P(S4)P(S3)
D. V(S2)、V(S3)和P(S3)P(S4)
(2)A. V(S3)V(S4)和V(S6)
B. P(S3)P(S4)和V(S6)
C. P(S3)V(S4)和V(S6)
D. P(S3)V(S4)和P(S6)
(3)A. V(S5)和V(S7)
B. P(5)和P(S7)
C. P(S5)和V(S7)
D. V(S5)和P(S7)