点击:2023年下半年信息系统项目管理师综合知识真题与答案(第2批次文字版)在线估分
2023下半年信息系统项目管理师真题与答案专题(综合、案例、论文):https://m.fzyzx.cn/zt/2023xcf/
2023年下半年信息系统项目管理师综合知识真题与答案(第2批次文字版)
1、( )标准规定了物联网系统实体间接口的具体功能要求,
A.GB/T35319物联网系统接口要求
B.GB/T33474物联网参考体系结构
C.GB1Z33750 物联网标准化工作指南
D.GB/T36478.1物联网信息交换和共享第1部分:总体架构
JRS直播参考答案:A
查看解析:
www.fzyzx.cn/st/6052418379.html
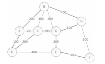
2、下图为某地区的JRS直播通信线路图,图中节点为8个城市,节点间标识的数字为城市间拟铺设通信线路的长度,为了保持8个城市通讯连接,则至少铺设( )千米的线路。

A.1000
B.1100
C.1200
D.1300
JRS直播参考答案:D
查看解析:
www.fzyzx.cn/st/6052528046.html
3、以下( )不是度量绩效域需要重点关注的内容。
A.制定有效的度量指标
B.度量内容及相应指标
C.度量陷阱
D.风险
JRS直播参考答案:D
查看解析:
www.fzyzx.cn/st/605267927.html
4、
JRS直播某项目设计方案总投资 2995万元,投产后年经营成本为500万元,年营业收入额为1500万元第3年末工程项目配套追加投资1000万元,若计算期为5年,基准收益率为10%,残值等于零,试计算投资方案的净现值

A.44.4
B.44.8
C.44.6
D.44.5
JRS直播参考答案:A
查看解析:
www.fzyzx.cn/st/6052716212.html
5、JRS直播某项目包含 ABCDEFGHIJ共10个活动,各活动历时与逻辑关系如下表所示,施工过程中,活动B延期2天,项目工期是( )天

A.17
B.18
C.19
D.20
JRS直播参考答案:B
查看解析:
www.fzyzx.cn/st/6052823943.html
6、以下( )不是规划干系人管理的输入。
A.资源管理计划
B.风险管理计划
C.干系人登记册
D.干系人参与计划
JRS直播参考答案:D
查看解析:
www.fzyzx.cn/st/6052926366.html
7、项目( )对规划采购管理过程中的采购策略制定有重要影响。在制订采购管理计划时所做出的决定也会影响项目( )。
A.质量计划
B.进度计划
C.风险计划
D.范围计划
JRS直播参考答案:B
查看解析:
www.fzyzx.cn/st/6053022005.html
8、( )识别、定义、组合、统一和协调各项目管理过程组的各个过程和活动。
A.整合管理
C.进度管理
D.成本管理
B.范围管理
JRS直播参考答案:A
查看解析:
www.fzyzx.cn/st/605313679.html
9、JRS直播李老师在给大家讲课过程中,告诉大家10大管理的论文非常重要,要大家不要去想押题,必须全面学习,大家也及时收到了消息,很多学员认可了李老师的观点,但是他不去执行目前是处于( )。
A.已转化为积极的行动
B.已收到
C.已理解
D.已认可
JRS直播参考答案:D
查看解析:
www.fzyzx.cn/st/6053218390.html
10、以下 ( )不是定量风险分析的工具和技术。
A.气泡图
B.期望货币值
C.蒙特卡洛
D.敏感性分析
JRS直播参考答案:A
查看解析:
www.fzyzx.cn/st/6053326023.html
11、以下关于项目组合管理生命周期的说法中,错误的是( )。
A.项目组合生命周期由启动、规划、执行与优化4个阶段组成
B.规划阶段制订并评审项目组合管理计划并就主要内容与干系人达成共识。
C.优化阶段通过其各个组件和运营来实施的,包括对项目组合的执行情况,以及各组件的绩效标准进行评审和汇报对提出的变更基于持续的组织需要来进行评审,组织环境的变更可能迫使组件优先顺序要重新排列或者引入新组件
D.启动阶段的活动包含验证业务和运营战略,识别项目组合组件,为项目组合及其组件定义长期路线图,包括财务目标、绩效标准、沟通、治理、干系人的定义与角色,以及持续管理计划。
JRS直播参考答案:C
查看解析:
www.fzyzx.cn/st/605342949.html
12、以下关于文档的说法中,错误的是( )。
A.对于信息系统开发项目来说,其文档一般分开发文档、产品文档和管理文档。
B.产品文档描述开发过程的产物,基本的产品文档包括:培训手册、参考手册和用户指南、软件支持手册、产品手册和信息广告。
C.工作文档(3级文档):适合于由同一单位内若干人联合开发的程序,或可被其他单位使用的程序
D.文档书写规范是在管理信息系统的开发过程中用到很多的图表,对这些图表进行有规则地编号,可以方便图表的查找。
JRS直播参考答案:D
查看解析:
www.fzyzx.cn/st/6053516962.html
13、以下关于车联网的说法中,错误的是( )。
A.车联网(IoV)系统是一个“端、管、云”三层体系
B.管系统解决车与车、车与路、车与网、车与人等的互联互通,实现车辆自组网及多种异构网络之间的通信与漫游,在功能和性能上保障实时性、可服务性与网络泛在性,同时它是公网与专网的统一体。
C.车与云平台间的通信是指车辆通过卫星无线通信或移动蜂窝等无线通信技术实现与车联网服务平台的信息传输,接收平台下达的控制指令,实时共享车辆数据
D.云系统是汽车的智能传感器负责采集与获取车辆的智能信息,感知行车状态与环境:是具有车内通信、车间通信、车网通信的泛在通信终端;同时还是让汽车具备IoV 寻址和网络可信标识等能力的设备。
JRS直播参考答案:D
查看解析:
www.fzyzx.cn/st/6053610494.html
14、( )将问题陈述的原因分解为离散的分支,有助于识别问题的主要原因或根本原因。
A.因果图
B.亲和图
C.甘特图
D.直方图
JRS直播参考答案:A
查看解析:
www.fzyzx.cn/st/60537698.html
15、随着新技术的不断涌现,社交网络、多元文化、虚拟团队和新的价值观等的出现,组织和项目所处的环境发生了很大变化。在执行并管理整合时,项目经理需要意识到项目背景和这些新因素,决定如何在项目中最好地利用这些新环境因素,以获得项目成功。这是属于( )
A.背景层面执行整合
B.认知层面执行整合
C.过程层面执行整合
D.管理层面执行整合
JRS直播参考答案:A
查看解析:
www.fzyzx.cn/st/605384909.html
16、( )是高效做事。
A.技术
B.资源
C.人员
D.过程
JRS直播参考答案:A
查看解析:
www.fzyzx.cn/st/605394650.html
17、以下( )不是人工智能的技术。
A.机器学习
B.神经网络
C.NLP
D.虚拟化
JRS直播参考答案:D
查看解析:
www.fzyzx.cn/st/6054012789.html
18、( )是在行列交叉的位置展示因素、原因和目标之间的关系强弱。
A.矩阵图
B.直方图
C.甘特图
D.亲和图
JRS直播参考答案:A
查看解析:
www.fzyzx.cn/st/6054123235.html
19、以下说法中,错误的是( )。
A.亲和图可以对潜在缺陷成因进行分类,展示最应关注的领域
B.直方图是一种展示数字数据的条形图,可展示每个可交付成果的缺陷数量、缺陷成因排列、各个过程的不合规次数,或项目或产品缺陷的其他表现形式
C.横道图也称为“甘特图”,是展示进度信息的一种图表方式
D.假设情景分析是把单个项目风险和不确定性的其他来源模型化的方法,以评估它们对项目目标的潜在影响。最常见的技术是蒙特卡罗分析
JRS直播参考答案:D
查看解析:
www.fzyzx.cn/st/605428668.html
20、以下说法中,错误的是( )。
A.CORBA是0MG进行标准化分布式对象计算的基础
B.DCOM作为COM的扩展,不仅继承了COM优点,而且针对分布环境还提供了一些新的特性,如位置透明性、网络安全性、跨平台调用
C.COM+为COM 的新发展或COM更高层次上的应用,其底层结构仍然以COM为基础,几乎包容了COM的所有内容
D.J2EE的体系结构可以分为客户端层、服务器端组件层和信息系统层。
JRS直播参考答案:D
查看解析:
www.fzyzx.cn/st/6054311777.html
21、一般的采购步骤为:①准备采购工作说明书(SOW)或工作大纲(TOR):②)准备高层级的成本估算,制定预算;③发布招标广告;④确定合格卖方的名单;⑤准备并发布招标文件;由卖方准备并提交建议书;⑦对建议书开展技术(包括质量)评估:对建议书开展成本评估:准备最终的综合评估报告(包括质量及成本),选出中标建议书;结束谈判,买方和卖方签署合同。
其正确的是排序是( )。
A.①②③④⑤⑥⑦⑧⑨⑩
B.⑤⑥⑦⑧⑨⑩①②③④
C.①②③④⑦⑧⑨⑩⑤⑥
D.⑧⑨⑩①⑤⑥⑦②③④
JRS直播参考答案:A
查看解析:
www.fzyzx.cn/st/6054419206.html
22、在项目集生命周期中被执行的活动取决于项目集的具体类型,通常在资金获得批准和项目集经理被指定前开始。为成功向组织交付效益,项目集要分为3个主要阶段来实施,包括( )、项目集交付阶段和项目集收尾阶段。
A.项目集构建阶段
B.项目集启动阶段
C.项目集规划阶段
D.项目集定义阶段
JRS直播参考答案:D
查看解析:
www.fzyzx.cn/st/6054525612.html
23、以下关于干系人管理过程的作用不正确的是( )。
A.识别干系人过程的主要作用是,使项目团队能够建立对每个干系人或干系人群体的适度关注
B.规划干系人参与过程的主要作用是,提供与干系人进行有效互动的可行计划
C.管理干系人参与过程的主要作用是,及时向干系人提供相关信息,引导干系人有效参与项目
D.监督干系人参与过程的主要作用是,随着项目进展和环境变化,维持或提升干系人参与活动的效率和效果
JRS直播参考答案:C
查看解析:
www.fzyzx.cn/st/6054628133.html
24、以下说法中,错误的是( )。
A.“一网通办”是依托于一体化在线政务服务平台,通过规范网上办事标准,优化网上办事流程,搭建统一的互联网政务服务总门户,整合政府服务数据资源和完善配套制度等措施,推行政务服务事项网上办理,推动企业群众办事线上只登录一次即可全网通办。
B.“跨省通办”是申请人在办理地之外的省市提出事项申请或在本地提出办理其他省市事项申请,办理模式通常可分为全程网办、代收代办和多地联办等。
C.“一网统管”通常从城市治理突出问题出发,以城市事件为牵引,统筹管理网格,统一城市运行事项清单,构建多级城市运行“一网统管”应用体系,推动城市管理、应急指挥、综合执法等领域的“一网统管”,实现城市运行态势感知、体征指标监测统一事件受理、智能调度指挥、联动协同处置、监督评价考核等全流程监管。
D.一网通指通过对多个部门的数据进行整合,将城市运行情况充分反映出来。
JRS直播参考答案:D
查看解析:
www.fzyzx.cn/st/6054721543.html
25、以下( )不是干系人登记册的内容。
A.身份信息
B.评估信息
C.干系人分类
D.干系人参与计划
JRS直播参考答案:D
查看解析:
www.fzyzx.cn/st/6054814998.html
26、项目管理是主动的,组织项目绩效是可预测的。项目团队遵循组织建立的0PM流程,这些流程根据项目的复杂性和从业者的能力加以裁剪。0PM流程在组织上是标准化的、可测量的、可控制的,并可由组织进行分析,以监控0PM流程绩效是( )的特点。
A.级别1,初始或临时的 0PM
B.级别2,项目层级采用 0PM
C.级别3,组织定义的0PM
D.级别4,量化管理的OPM
JRS直播参考答案:C
查看解析:
www.fzyzx.cn/st/6054929646.html
27、采用较简单的流程、进行更多次测试和选用更可靠的卖方属于( )策略。
A.减轻
B.规避
C.上报
D.转移
JRS直播参考答案:A
查看解析:
www.fzyzx.cn/st/605504333.html
28、以下( )不是迈克尔·波特提出的战略框架。
A.差异性战略
B.总成本领先战略
C.专注战略
D.增长型战略
JRS直播参考答案:D
查看解析:
www.fzyzx.cn/st/6055113868.html
29、关于配置管理的说法中,错误的是( )
A.所有配置项的操作权限应由配置管理员严格管理,基本原则是:基线配置项向开发人员开放读取的权限;非基线配置项向项目经理、CCB 及相关人员开放
B.可将配置项状态分为“草稿”“正式”和“修改”三种
C.由于我们不能保证新版本一定比旧版本“好”,所以不能抛弃旧版本
D.配置库可以分开发库、受控库、产品库、备份库4种类型
JRS直播参考答案:D
查看解析:
www.fzyzx.cn/st/605523853.html
30、自主性和福利;关注人际做出服务承诺,处处先为他人着想:关注他人的成长、学习、发展关系、团体与合作;服务优先于领导是( )。
A.放任型
B.交易型
C.服务型
D.魅力型
JRS直播参考答案:C
查看解析:
www.fzyzx.cn/st/6055319037.html
31、以下( )不属于项目评估的依据。
A.项目建议书及其批准文件
B.项目可行性研究报告
C.报送组织的申请报告及主管部门的初审意见
D.项目章程
JRS直播参考答案:D
查看解析:
www.fzyzx.cn/st/6055418171.html
32、以下( )属于控制质量的作用。
A.识别无效过程
B.使用控制质量过程的数据和结果向干系人展示项目的总体质量状态
C.提高实现质量目标的可能性
D.确定项目输出是否达到预期目的,这些输出需要满足所有适用标准、要求、法规和规范。
JRS直播参考答案:D
查看解析:
www.fzyzx.cn/st/6055524365.html
33、以下关于数据安全法的说法中,错误的是( )。
A.数据安全法从数据安全与发展、数据安全制度、数据安全保护义务、政务数据安全与开放的角度对数据安全保护的义务和相应法律责任进行规定。
B.国家网信部门依照本法和有关法律、行政法规的规定,负责统筹协调网络数据安全和相关监管工作
C.国家建立数据分类分级保护制度,根据数据在经济社会发展中的重要程度,以及一旦遭到篡改、破坏、泄露或者非法获取、非法利用,对国家安全、公共利益或者个人、组织合法权益造成的危害程度,对数据实行分类分级保护。国家数据安全工作协调机制统筹协调有关部门制定重要数据目录,加强对重要数据的保护。
D.数据严禁交易,必须保密
JRS直播参考答案:D
查看解析:
www.fzyzx.cn/st/605565593.html
34、以下关于网络安全法的说法中,错误的是()
A.网络安全法的制定是为了保障网络安全,维护网络空间主权和国家安全、社会公共利益,保护公民、法人和其他组织的合法权益,促进经济社会信息化健康发展。适用于在中华人民共和国境内建设、运营、维护和使用网络,以及网络安全的监督管理。
B.国家网信部门协调有关部门建立健全网络安全风险评估和应急工作机制,制定网络安全事件应急预案,并定期组织演练。
C.关键信息基础设施的运营者应当自行或者委托网络安全服务机构对其网络的安全性和可能存在的风险每年至少进行2次检测评估,并将检测评估情况和改进措施报送相关负责关键信息基础设施安全保护工作的部门。
D.采取监测、记录网络运行状态、网络安全事件的技术措施,并按照规定留存相关的网络日志不少于六个月:
JRS直播参考答案:C
查看解析:
www.fzyzx.cn/st/6055720283.html
35、对于大型项目团队和主要通过虚拟方式工作的项目团队,则更适合采用( )方法。
A.预测型
B.适应型
C.混合型
D.敏捷型
JRS直播参考答案:A
查看解析:
www.fzyzx.cn/st/605587445.html
36、可交付物的范围稳定且变化小时,适合采用( )方法。
A.预测型
B.适应型
C.混合型
D.敏捷型
JRS直播参考答案:A
查看解析:
www.fzyzx.cn/st/6055910655.html
37、( )不是影响资源规划的事业环境因素。
A.组织文化和结构
B.设施和资源的物理分布
C.现有资源的能力和可用性
D.物质资源管理政策和程序
JRS直播参考答案:D
查看解析:
www.fzyzx.cn/st/605605958.html
38、以下( )不是项目章程的内容。
A.项目目的
B.范围基准
C.高层级需求
D.项目退出标准
JRS直播参考答案:B
查看解析:
www.fzyzx.cn/st/605612997.html
39、以下( )不属于经济可行性研究的内容。
A.支出分析
B.收益分析
C.投资回报分析
D.人员提升收益
JRS直播参考答案:D
查看解析:
www.fzyzx.cn/st/605626751.html
40、项目组合管理绩效域包括项目组合生命周期、项目组合战略管理、项目组合治理、项目组合产能与能力管理、项目组合干系人参与、项目组合价值管理和( )。
A.项目组合不确定性管理
B.项目组合规划管理
C.项目组合交付管理
D.项目组合风险管理
JRS直播参考答案:D
查看解析:
www.fzyzx.cn/st/6056327044.html
41、以下( )属于启动过程组的内容。
A.识别干系人
B.规划进度管理
C.范围确认
D.成本预算
JRS直播参考答案:A
查看解析:
www.fzyzx.cn/st/6056414571.html
42、关于干系人参与度评估矩阵,以下说法,错误的是( )。
A.干系人参与度评估矩阵:用于将干系人当前参与水平与期望参与水平进行比较
B.C是项目团队评估出来的、为确保项目成功所必不可少的参与水平(期望的)
C.支持型是指了解项目及其潜在影响,并且会支持项目工作及其成果
D.应根据每个干系人的当前与期望参与水平的差距,开展必要的沟通,有效引导干系人参与项目
JRS直播参考答案:B
查看解析:
www.fzyzx.cn/st/6056515096.html
43、确定合格供方的名单属于( )。
A.规划采购
B.实施采购
C.控制采购
D.识别干系人
JRS直播参考答案:B
查看解析:
www.fzyzx.cn/st/6056623872.html
44、以下关于问题解决,说法错误的是( )。
A.问题解决发现解决问题或应对挑战的解决方案。它包括收集其他信息、具有批判性思维的创造性的、量化的和或逻辑性的解决方法。
B.问题可能在控制质量过程或质量审计中发现,也可能与过程或可交付成果有关。
C.问题解决方法通常包括以下要素:定义问题,识别根本原因,生成可能的解决方案,选择最佳解决方案,执行解决方案,验证解决方案的有效性等。
D.使用非结构化的问题解决方法有助于消除问题和制定长久有效的解决方案。
JRS直播参考答案:D
查看解析:
www.fzyzx.cn/st/6056726036.html
45、JRS直播李老师准备开设一家计算机培训学校,他估计该项目投资需要20万,考虑到风险,他预留了10%的管理储备和5%的应急储备,则该项目的总预算为( )
A.20 万
B.21万
C.23万
D.22 万
JRS直播参考答案:C
查看解析:
www.fzyzx.cn/st/6056827353.html
46、以下关于可行性研究的说法中,错误的是( )。
A.将有项目时的成本(效益)与无项目时的成本(效益)进行比较叫做增量净效益法(有无比较法)
B.可行性研究的方法很多,如经济评价法、市场预测法、投资估算法和增量净效益法等
C.投资费用一般包括固定资金及流动资金两大部分,固定资金中又分为设计开发费、设备费、场地费、安装费及项目管理费等
D.初步可行性研究必须用到增量净效益法
JRS直播参考答案:D
查看解析:
www.fzyzx.cn/st/6056920588.html
47、有效的度量指标具有SMART特征,其中T是指( )。
B.可实现的
A.具体的
C.具有相关性
D.具有及时性
JRS直播参考答案:D
查看解析:
www.fzyzx.cn/st/605704992.html
48、以下( )不是交付绩效域需要重点关注的内容。
A.价值的交付
B.可交付物
C.质量
D.范围
JRS直播参考答案:D
查看解析:
www.fzyzx.cn/st/6057116419.html
49、( )用以防止非法实体对交换数据的修改、插入、删除以及在数据交换过程中的数据丢失.
A.数据保密服务
B.对等实体认证服务
C.数据完整性服务
D.禁止否认服务
JRS直播参考答案:C
查看解析:
www.fzyzx.cn/st/6057212498.html
50、如果工作性质清楚,但范围不是很清楚,而且工作不复杂,又需要快速签订合同,则使用( )。
A.工料合同
B.总价合同
C.总承包合同
D.单价合同
JRS直播参考答案:A
查看解析:
www.fzyzx.cn/st/6057313084.html
51、在( )规定可以开展进度活动的可用工作日和工作班次,它把可用于开展进度活动的时间段(按天或更小的时间单位)与不可用的时间段区分开来。
A.项目日历
B.资源日历
C.项目团队派工单
D.物质资源分配单
JRS直播参考答案:A
查看解析:
www.fzyzx.cn/st/6057415281.html
52、范围确认中,( )关心项目的可交付成果是否足够完成产品或服务。
A.项目管理人员
B.客户
C.项目团队成员
D.高层领导
JRS直播参考答案:B
查看解析:
www.fzyzx.cn/st/605757004.html
53、以下说法中,错误的是( )。
A.自然语言处理(Natural Language Processing,NLP)是计算机科学领域与人工智能领域中的一个重要方向
B.从“人工+智能”向自主智能系统发展
C.专家系统其内部含有大量的某个领域专家水平的知识与经验,它能够应用人工智能技术和计算机技术,根据系统中的知识与经验,进行推理和判断
D.神经网络是自然语言处理的一种形式
JRS直播参考答案:D
查看解析:
www.fzyzx.cn/st/605764230.html
54、以下关于审计证据的说法中,错误的是( )
A.审计证据是指由审计机构和审计人员获取,用于确定所审计实体或数据是否遵循既定标准或目标,形成审计结论的证明材料
B.客观性是指审计证据必须是客观存在的事实材料。客观的审计证据比需要判断或解释的证据可靠
C.充分性是指要求审计人员根据所获证据足以对被审计对象提出一定程度保证的结论,是对审计证据数量的要求,主要与审计人员确定的样本量有关
D.合法性是指审计证据与审计事项之间必须有实质性联系
JRS直播参考答案:D
查看解析:
www.fzyzx.cn/st/6057723780.html
55、( )用于对干系人信息、相互关系以及他们与组织的关系进行可视化整理。
A.思维导图
B.干系人参与度评估矩阵
C.根本原因分析
D.优先级排序或分级
JRS直播参考答案:A
查看解析:
www.fzyzx.cn/st/6057810771.html
56、以下( )不属于质量控制的输入。
A.可交付成果
B.工作绩效数据
C.测试与评估文件
D.质量控制测量结果
JRS直播参考答案:D
查看解析:
www.fzyzx.cn/st/6057927605.html
57、( )是指事先确定项目的实物或团队资源
A.预分派
B.虚拟团队
C.集中办公
D.冲突管理
JRS直播参考答案:A
查看解析:
www.fzyzx.cn/st/6058023103.html
58、以下关于云计算的说法中,错误的是( )
A.云计算是一种基于互联网的计算方式,实现了“快速、按需、弹性”的服务,用户可以随时通过宽带网络接入“云”并获得服务,按照需求获取或释放资源,对资源进行动态扩展
B.PAAS 是向用户提供计算机能力、存储空间等基础设施方面的服务
C.云计算的关键技术主要涉及虚拟化技术、云存储技术、多租户和访问控制管理、云安全技术等
D.容器技术是一种全新意义上的虚拟化技术,属于操作系统虚拟化的范畴:也就是由操作系统提供虚拟化的支持。目前最受欢迎的容器环境是 Docker
JRS直播参考答案:B
查看解析:
www.fzyzx.cn/st/605819574.html
59、以下关于气泡图的说法中,错误的是( )
A.气泡图能显示三维数据
B.在气泡图中,把每个风险都绘制成一个气泡,并用x轴值、y轴值和气泡大小来表示风险的3个参数
C.气泡图中,可以用X轴代表可监测性,Y轴代表邻近性,影响值则以气泡大小表示
D.气泡图是识别风险的工具
JRS直播参考答案:D
查看解析:
www.fzyzx.cn/st/6058221953.html
60、敏感性分析的结果通常用( )来表示。
A.气泡图
B.龙卷风图
C. SWOT
D.概率影响矩阵
JRS直播参考答案:B
查看解析:
www.fzyzx.cn/st/605831919.html
61、以下( )不是规划沟通管理的输入。
A.项目章程
B.资源管理计划
C.需求文件
D.干系人参与度评估矩阵
JRS直播参考答案:D
查看解析:
www.fzyzx.cn/st/6058419502.html
62、随着项目进展和环境变化,维持或提升干系人参与活动的效率和效果,属于( )
A.识别干系人
B.规划干系人
C.管理干系人
D.监督干系人
JRS直播参考答案:D
查看解析:
www.fzyzx.cn/st/6058513369.html
63、以下( )不属于成本控制的内容。
A.对造成成本基准变更的因素施加影响
B.防止在成本或资源使用报告中出现未经批准的变更
C.向干系人报告所有经批准的变更及其相关成本
D.确定可以依据其来进行监督和控制项目绩效的成本基准
JRS直播参考答案:D
查看解析:
www.fzyzx.cn/st/6058625731.html
64、数据标准化的主要内容不包含( )
A.数据安全化标准
B.数据元标准化
C.元数据标准化
D.数据标准化管理
JRS直播参考答案:A
查看解析:
www.fzyzx.cn/st/60587783.html
65、适用于建设团队过程的人际关系与团队技能不包括( )。
A.冲突管理
B.影响力
C.团队建设
D.虚拟团队
JRS直播参考答案:D
查看解析:
www.fzyzx.cn/st/6058821133.html
66、范围管理中,需要裁剪的考虑因素不包括( )。
A.知识和需求管理
B.确认和控制
C.开发方法
D. WBS 的结构
JRS直播参考答案:D
查看解析:
www.fzyzx.cn/st/6058924652.html