软件设计师《综合知识》真题及答案9_综合知识-JRS直播

软题库 学习课程
当前位置:JRS直播 >> 软件设计师 >> 综合知识 >> 文章内容
软件设计师《综合知识》真题及答案9

为帮助广大软考中级软件设计师考生更好备考,JRS直播特整理汇总了软件设计师部分《综合知识》真题、答案及解析供考生查阅,并提供免费在线模拟答题、历年真题免费下载等服务,了解软件设计师更多备考信息请关注JRS直播。

相关推荐:

点击查看/下载:软件设计师历年真题汇总

点击查看:软件设计师在线培训课程免费试听课程

免费练习:软件设计师考试题库(模拟试题、章节练习、每日一练)

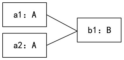
1、某类图如图所示,下列选项错误的是( )。

A.一个A1的对象可能与一个A2的对象关联

B.一个A的非直接对象可能与一个A1 的对象关联

C.类B1的对象可能通过A2与C1的对象关联

D.有可能A的直接对象与B1的对象关联

JRS直播参考答案:D

查看解析:www.fzyzx.cn/st/4512111317.html

2、UML图中, 对象图展现了(1),(2)所示对象图与下图所示类图不一致。

(1)A.一组对象、接口、协作和它们之间的关系

B.一组用例、参与者以及它们之间的关系

C.某一时刻一组对象以及它们之间的关系

D.以时间顺序组织的对象之间的交互活动

2)A.

B.

C.

D.

JRS直播参考答案:C 、D

查看解析:www.fzyzx.cn/st/4512212537.html

3、某快餐厅主要制作并出售儿童套餐,一般包括主餐(各类比萨)、饮料和玩具,其餐品种类可能不同,但制作过程相同。前台服务员(Waiter) 调度厨师制作套餐。欲开发一软件,实现该制作过程,设计如下所示类图。该设计采用(1)模式将一个复杂对象的构建与它的表示分离,使得同样的构建过程可以创建不同的表示。其中,(2)构造一个使用Builder接口的对象。该模式属于(3)模式,该模式适用于(4)的情况。

(1)A.生成器(Builder)

B.抽象工厂(Abstract Factory)

C.原型(Prototype)

D.工厂方法(Factory Method)

(2)A.PizzaBuilder

B.SpicyPizaBuilder

C.Waiter

D.Pizza

(3)A.创建型对象

B.结构型对象

C.行为型对象

D.结构型类

(4)A.当一个系统应该独立于它的产品创建、构成和表示时

B.当一个类希望由它的子类来指定它所创建的对象的时候

C.当要强调一系列相关的产品对象的设计以便进行联合使用时

D.当构造过程必须允许被构造的对象有不同的表示时

JRS直播参考答案:A 、C 、A 、D

查看解析:www.fzyzx.cn/st/4512317156.html

4、函数foo()、hoo0定义如下,调用函数hoo()时,第-个参数采用传值(callBy value)方式,第二个参数采用传引用(callBy reference)方式。设有函数调(函数foo(5),那么"print(x)”执行后输出的值为( )。

A.24

B.25

C.30

D.36

JRS直播参考答案:A

查看解析:www.fzyzx.cn/st/4512428471.html

5、程序设计语言的大多数语法现象可以用CFG (上 下文无关文法)表示。下面的CFG产生式集用于描述简单算术表达式,其中+、-、*表示加、减、乘运算,id表示单个字母表示的变量,那么符合该文法的表达式为( )。

P:E→E+T|E-T|T

T→T*F|F

F→-F|id

A.a+-b-c

B.a*(b+c)

C.a*-b+2

D.-a/b+c

JRS直播参考答案:A

查看解析:www.fzyzx.cn/st/4512526414.html

JRS直播订阅号

JRS直播视频号

JRS直播抖音号

温馨提示:因考试政策、内容不断变化与调整,JRS直播网站提供的以上信息仅供参考,如有异议,请以权威部门公布的内容为准!

JRS直播致力于为广大信管从业人员、爱好者、大学生提供专业、高质量的课程和服务,解决其考试证书、技能提升和就业的需求。

JRS直播软考课程由JRS直播依托10年专业软考教研倾力打造,教材和资料参编作者和资深讲师坐镇,通过深研历年考试出题规律与考试大纲,深挖核心知识与高频考点,为学员考试保驾护航。面授、直播&录播,多种班型灵活学习,满足不同学员考证需求,降低课程学习难度,使学习效果事半功倍。

相关内容

发表评论  查看完整评论  

推荐文章

精选

课程

提问

评论

收藏