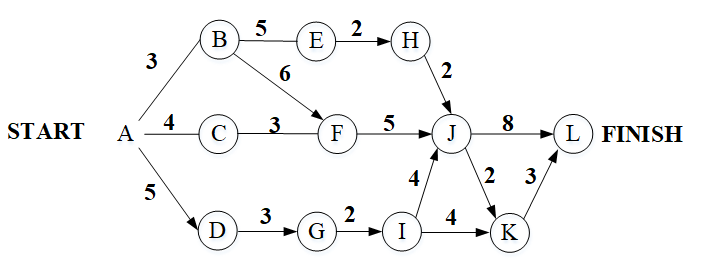
下图是一个软件项目的活动图,其中顶点表示项目里程碑,连接顶点的边表示包含的活动。边上的权重表示活动的持续时间(天),则里程碑( )不在关键路径上。在其他活动都按时完成的情况下,活动BE最多可以晚 ( - JRS直播
JRS直播试题内容
导航
试卷名称:2019年下半年软件设计师考试上午真题试题(综合知识)
考试年份:2019年下半年
试题内容
下图是一个软件项目的活动图,其中顶点表示项目里程碑,连接顶点的边表示包含的活动。边上的权重表示活动的持续时间(天),则里程碑( )不在关键路径上。在其他活动都按时完成的情况下,活动BE最多可以晚 ( ) 天开始而不影响工期。

(1)A、B
B、C
C、D
D、J
(2)A、0
B、1
C、2
D、3
参考答案:B、C(仅供参考)
收藏
【解析】
普通会员无法查看试题解析。[开通试题解析服务]