JRS直播考试资讯
JRS直播 - 考试资讯 导航

信息系统项目管理师知识点梳理——项目进度管理

2021年07月29日来源:JRS直播 作者:cnitpm

一、规划进度管理

概念:为实现项目进度管理制定政策、程序,并形成文档化的项目进度管理计划的过程

作用:在整个项目工程中管理、执行和控制项目进度提供指南和方向

ITO图

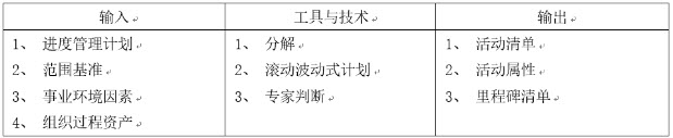
二、定义活动

概念:

活动概念:WBS中最底层的工作包,可以进一步细分为更小的组成部分,是实施项目时安排工作的最基本的工作单元

定义活动:识别和记录为完成项目可交付成果而采取的的所有活动

ITO图

滚动式规划

一种渐进明细的规划方式,即对近期要完成的工作进行详细规划,而对远期工作,信息尚不够明确,则暂时只在WBS的较高层次上进行粗略规划,随着了解到更多的信息,在分解成具体的活动

三、排列活动顺序

概念:

识别和记录项目活动之间的关系的过程,定义工作之间的逻辑顺序,以便在既定的所有项目制约因素下获得最高的效率

ITO图

两种网络图表示法

1、前导图法(PDM)或紧前关系绘图法或称单代号网络图法或活动节点图(AON)

前导图例子

使用方法:方框或者长方形(称作节点)代表活动,节点之间用箭头链接,以显示节点之间的逻辑关系

四种逻辑关系:

FS(Finish-Start

前序活动结束后,后续活动才能开始

报名通过之后-->才能参加考试

FF(Finish-Finish

前序活动结束后,后续活动才能结束

成绩合格之后-->结束课程学习

SS(Start-Start

前序活动开始后,后续活动才能开始

老师开始讲课-->学生开始听课

SF(Start-Finish

前序活动开始后,后续活动才能结束

第二位保安开始值班-->第一位保安结束值班

活动的四个重要时间

举例说明:

2、箭线图法(ADM)或称双代号网络图法(AOA)

箭线图例子

使用方法:箭线表示活动、节点表示事件的一种网络图绘制方法,节点之间只能有一条箭线

节点含义

三个基本原则

(1)网络图中每一活动和事件都必须有唯一的一个代号,即网络图中不会有相同的代号

(2)任两项活动的紧前事件和紧后事件代号至少有一个不相同,节点代号沿箭线方向越来越大

(3)流入(流出)同一节点的活动,均有共同的紧后活动(或紧前活动)

虚工作

图例

要点

(1)人为引入了一种额外的、特殊的活动,在网络上图中由一个虚箭线表示

(2)虚活动不消耗时间,也不消耗资源

(3)只是为了弥补箭线图在表达活动依赖关系方面的不足

活动的四个重要时间:最早开始时间、最早完成时间、最迟开始时间、最迟完成时间

3、解题技巧

(1)画网络图

(2)正序求最早开始时间/最早完成时间——最早开始时间=所有紧前活动最早完成时间中的最大值

(3)倒序求最晚开始时间/最晚完成时间——最晚完成时间=所有紧后活动最晚开始时间中的最小值

(4)总时差(总浮动时间)

最迟开始时间-最早开始时间

一项工作在不影响总工期的前提下所具有的机动时间

(5)关键路径(可能有多个)

总时差全部为零的路线

由总时差为0的活动所组成的线路,也是项目中最长的路径

(6)总工期

关键路径上最后一个节点的最早完成时间

(7)自由时差(自由浮动时间)

下一活动的最早开始时间-本活动的最早完成时间

在不影响所有紧后工作早开始的条件下,本工作可以利用的机动时间

提前量与滞后量

1、提前量

相对于紧前活动,紧后活动需要提前的时间量

如:一个文档,编写小组可以在写完文件初稿前15天着手第二稿

提前量往往表示为负数

2、滞后量

相对于紧前活动,紧后活动需要推迟的时间量

如:为了保证混凝土有10天养护期,可以在两道工序之间加入10天的滞后时间

滞后量往往表示为正数

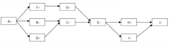
实例


实例讲解

第一步:画网络图

第二步:正序求最早开始时间、最早完成时间

规则

最早开始时间=所有紧前活动最早完成实践中的最大值

标记:最早开始时间 | 工期 | 最早完成时间

第三步:倒序求最晚开始时间、最晚完成时间

规则:最晚完成时间=所有紧后活动最晚开始时间中的最小值

标记:最迟开始时间 | 总浮动时间 | 最迟完成时间

第四步:关键路径

规则:总时差全部为零的路线

解答题目

关键路径:ADCEIJ

总工期:21天

E的总浮动时间:0天

E的自由浮动时间=下一活动的最早开始时间-本活动的最早完成时间=13-13=0天

G的总浮动时间:1天

G的自由浮动时间=下一活动的最早开始时间-本活动的最早完成时间=10-9=1天

四、估算活动资源

概念:估算执行各项活动所需的材料、人员、设备或用品的种类和数量的过程,明确完成活动所需的资源种类、数量和特性,以便做出更准确的成本和持续时间估算

ITO图

资源日历

资源日历包含了资源在项目期间的可用性信息

资源分解结构(RBS)

五、估算活动持续时间

概念:根据资源估算的结果,估算完成单项活动所需工作时段数的过程,确定完成每个活动所需花费的时间量,为定制进度计划过程提供主要输入

ITO图

工具与技术(主要方法)

1、类比估算

适合评估一些与历史项目在应用领域,环境和复杂度等方面相似的项目,通过新项目与历史项目的比较得到规模估计,类比估算法估计结果的精度取决于历史项目数据的完整性和准确度

2、参数估算

参数估算是一种基于历史数据和项目参数,使用某种算法来计算成本或工期的估算技术。参数估算是指利用历史数据之间的统计关系和其他变量,来估算诸如成本、预算和持续时间等活动参数

对于设计项目,将图纸的张数乘以每张图纸用的工时

3、计划评审技术(PERT)或三点估算

举例说明

4、储备分析

作用:用来应对进度方面的不确定性

应急储备

应对已经接受的已识别风险,包含在进度基准中

“已知-未知”

管理储备

应对项目范围中不可预见的工作,不包含在进度基准中,但属于项目总持续时间的一部分

“未知-未知”

六、制定进度计划

概念:分析活动顺序、持续时间、资源需求和进度制约因素,创建项目进度模型的过程

制订进度计划的步骤:

1、项目描述

2、项目分解与活动界定

3、工作描述

4、项目组织和工作责任分配

5、工作排序

6、计算工作量

7、估计工作持续时间

8、绘制网络图

9、进度安排

关键链

1、建立在关键路径法之上,考虑了资源分配、资源优化、资源平衡和活动历时不确定性对关键路径的影响

2、关键链法增加了作为“非工作活动”的持续时间缓冲,用来应对不确定性

3、项目缓冲:放置在关键链末端的缓冲称为项目缓冲,用来保证项目不因关键链的延误而延误

4、接驳缓冲:放置在非关键链与关键链的结合点,用来保护关键链不受非关键链延误的影响

资源优化技术

资源平衡:为了在资源需求与资源供给之间取得平衡,根据资源制约对开始日期和结束日期进行调整的一种技术,资源平衡往往导致关键路径改变,通常是延长。

资源优化:对进度模型中的活动进行调整,从而使项目资源需求不超过预定的资源限制的一种技术,不会改变项目关键路径,完工日期也不会延迟

图形表示法

1、横道图(甘特图)

在横道图中,活动列于纵轴,日期排于横轴,活动持续时间则表示为按开始和结束日期定位的水平条形,横道图相对易读,常用于向管理层汇报情况

2、里程碑图

与横道图类似,但仅标示出主要可交付成果和关键外部接口的计划开始或完成日期

3、项目进度网络图

通常没有时间刻度,纯粹显示活动及其相互关系,如前导图法

4、时标逻辑图(时标网络图)

(1)将网络计划的起点节点定位在时标网络计划表的起始刻度线上

(2)按工作的持续时间绘制以网络计划起点节点为开始节点的工作箭线

(3)除网络计划的起点节点外,其他节点必须在所有以该节点为完成节点的工作箭线均绘出后,定位在这些工作箭线中最迟的箭线末端。当某些工作箭线的长度不足以到达该节点时,须用波形线补足,箭头画在与该节点的连接处

(4)当某个节点的位置确定后,即可绘制以该节点为开始节点的工作箭线

(5)利用上述方法从左至右依次确定其他各个节点的位置,直至绘出网络计划的终点节点

5、实例讲解:

(1)关键路径:

从网络计划的终点节点开始,逆着箭线方向,自始至终不出现波形线的线路

(2)总工期:

关键路径上最后一个节点的最早完成时间

(3)正序求最早开始时间/最早完成时间

(4)倒序求最晚开始时间/最晚完成时间

(5)求总浮动时间?

(6)求自由浮动时间?

模块A回归测试:

11|3|14

13|2|16

总浮动时间:2

自由浮动时间:AB接口测试的最早开始时间-模块A回归测试的最早完成时间=16-14=2

模块A的修复:

10|1|11

12|2|3

总浮动时间:2

自由浮动时间:模块A回归测试的最早开始时间-模块A的修复的最早完成时间=11-11=0

七、控制进度

概念:监控项目活动状态,更新项目进展,管理进度基准变量,以实现计划的过程,主要作用是,提供计划偏离的方法,从而可以及时采取纠正和预防措施,以降低防线

关注的四个内容:

1、判断项目进度的当前状态

2、对引起进度变更的因素施加影响,以保证这种变化朝着有利的方向发展

3、判断项目是否已经发生变更

4、当变更实际发生时严格按照变更控制流程对其进行管理

缩短活动工期的方法:

1、赶工,投入更多的资源或增加工作时间,缩短关键活动的工期(增加资源有可能导致产生额外的问题,并且降低效率,也有可能由于经常加班,造成成员辞职问题)

2、快速跟进,并行施工,以缩短关键路径的长度,但是可能造成返工/风险

3、使用高素质的资源或经验更丰富的人员

4、缩小活动范围或降低活动要求

5、改进方法或技术,以提高生产效率

6、加强质量管理,及时发现问题,减少返工,从而缩短工期

温馨提示:因考试政策、内容不断变化与调整,JRS直播提供的以上信息仅供参考,如有异议,请考生以权威部门公布的内容为准!

分享至:

JRS直播 - 信息系统项目管理专业网站

下载APP-在线学习