信息安全工程师当天每日一练试题地址:www.fzyzx.cn/exam/ExamDay.aspx?t1=6
往期信息安全工程师每日一练试题汇总:www.fzyzx.cn/class27-6-1.aspx
信息安全工程师每日一练试题(2019/3/3)在线测试:www.fzyzx.cn/exam/ExamDay.aspx?t1=6&day=2019/3/3
信息安全工程师每日一练试题内容(2019/3/3)
试题
1:
相对于DES算法而言,RSA算法的(1),因此,RSA(2)。
(1)A、加密密钥和解密密钥是不相同的
B、加密密钥和解密密钥是相同的
C、加密速度比DES要高
D、解密速度比DES要高
(2)A、更适用于对文件加密
B、保密性不如DES
C、可用于对不同长度的消息生成消息摘要
D、可以用于数字签名
试题解析与讨论:
www.fzyzx.cn/st/50141727.html试题参考答案:A、D
试题
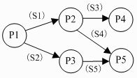
2: 进程P1、P2、P3、P4和P5的前趋图如下:

若用PV操作控制进程P1~P5并发执行过程,则需要设置5个信号量S1、S2、S3、S4和S5,进程间同步所使用的信号量标注在上图中的边上,且信号量S1~S5的初始值都等于零,初始状态下从进程P1开始执行。下图中a、b和c处应分别填写(1);d和e处应分别填写(2),f和g处应分别填写(3)。

(1)A. V(S1)V(S2)、P(S1)和V(S3) V(S4)
B. P(S1)V(S2)、P(S1)和P(S2) V(S1)
C. V(S1)V(S2)、P(S1)和P(S3) P(S4)
D. P(S1)P(S2)、V(S1)和P(S3) V(S2)
(2)A. P(S1) 和V(S5)
B. V(S1) 和P(S5)
C. P(S2) 和V(S5)
D. V(S2) 和P(S5)
(3)A. P(S3)和V(S4) V(S5)
B. P(S3)和P(S4) P(S5)
C. V(S3)和V(S4) V(S5)
D. V(S3)和P(S4) P(S5)
试题解析与讨论:
www.fzyzx.cn/st/1296615202.html试题参考答案:A、C、B
试题
3: An application architecture specifies the technologies to be used to implement one or more information systems. It serves as an outline for detailed design, construction, and implementation. Given the models and details, include(1), we can distribute data and processes to create a general design of application architecture. The design will normally be constrained by architecture standards, project objectives, and (2). The first physical DFD to be drawn is the(3). The next step is to distribute data stores to different processors. Data(4) are two types of distributed data which most RDBMSs support. There are many distribution options used in data distribution. In the case of (5)we should record each table as a data store on the physical DFD and connect each to the appropriate server.
(1)A. logical DFDs and ERD
B. ideal object model and analysis class model
C. use case models and interface prototypes
D. physical DFDs and database schema
(2)A. the database management system
B. the feasibility of techniques used
C. the network topology and technology
D. the user interface and process methods
(3)A. context DFD
B. system DFD
C. network architecture DFD
D. event-response DFD
(4)A. vertical partitioning and horizontal replication
B. vertical replication and horizontal partitioning
C. integration and distribution
D. partitioning and replication
(5)A. storing all data on a single server
B. storing specific tables on different servers
C. storing subsets of specific tables on different servers
D. duplicating specific tables or subsets on different servers
试题解析与讨论:
www.fzyzx.cn/st/188227005.html试题参考答案:A、B、C、D、B
试题
4: 以下著作权权利中,()的保护期受时间限制。
A.署名权
B.发表权
C.修改权
D.保护作品完整权
试题解析与讨论:
www.fzyzx.cn/st/1886120803.html试题参考答案:B
试题
5: ( )不属于防火墙的核心技术。
A.(静态/动态)包过滤技术
B.NAT技术
C.应用代理技术
D.状态监测
试题解析与讨论:
www.fzyzx.cn/st/2349124825.html试题参考答案:B
试题
6: 计算机网络的安全主要是指()。
A.网络设施环境的安全
B.网络中信息的安全
C.网络中使用者的安全
D.网络中财产的安全
试题解析与讨论:
www.fzyzx.cn/st/2368719242.html试题参考答案:B
试题
7:
用户B收到用户A带数字签名的消息M,为了验证M的真实性,首先需要从CA获取用户A的数字证书,并利用(1)验证该证书的真伪,然后利用(2)验证M的真实性。
(1)A.CA的公钥
B.B的私钥
C.A的公钥
D.B的公钥
(2) A.CA的公钥
B.B的私钥
C.A的公钥
D.B的公钥
试题解析与讨论:
www.fzyzx.cn/st/2480323970.html试题参考答案:A、C
试题
8:
实时操作系统(RTOS)内核与应用程序之间的接口称为( )。
A.I/O接口
B.PCI
C.API
D.GUI
试题解析与讨论:
www.fzyzx.cn/st/2867029381.html试题参考答案:
试题
9:
架构描述语言(Architecture Description Language,ADL)是一种为明确说明软件系统的概念架构和对这些概念架构建模提供功能的语言。ADL主要包括以下组成部分:组件、组件接口、()和架构配置。
A.架构风格
B.架构实现
C.连接件
D.组件约束
试题解析与讨论:
www.fzyzx.cn/st/2893815076.html试题参考答案:C
试题
10: 体系结构文档化有助于辅助系统分析人员和程序员去实现体系结构。体系结构文档化过程的主要输出包括( )。
A.体系结构规格说明、测试体系结构需求的质量设计说明书
B.质量属性说明书、体系结构描述
C.体系结构规格说明、软件功能需求说明
D.多视图体系结构模型、体系结构验证说明
试题解析与讨论:
www.fzyzx.cn/st/393264561.html试题参考答案:A