2025年11月21日来源:JRS直播 作者:cnitpm
软件设计师当天每日一练试题地址:www.fzyzx.cn/exam/ExamDay.aspx?t1=4
往期软件设计师每日一练试题汇总:www.fzyzx.cn/class/27/e4_1.html
软件设计师每日一练试题(2025/11/21)在线测试:www.fzyzx.cn/exam/ExamDay.aspx?t1=4&day=2025/11/21
点击查看:更多软件设计师习题与指导
软件设计师每日一练试题内容(2025/11/21)
试题1
下列叙述中,与提高软件可移植性相关的是( )。
A、选择时间效率高的算法
B、尽可能减少注释
C、选择空间效率高的算法
D、尽量用高级语言编写系统中对效率要求不高的部分
查看答案
试题参考答案:D
试题2
下列算法中,不属于公开密钥加密算法的是( ) 。
A.ECC
B.DSA
C.RSA
D.DES
查看答案
试题参考答案:D
试题3
现有 16 枚外形相同的硬币,其中有一枚比真币的重量轻的假币,若采用分治法找出这枚假币,至少比较 ( ) 次才能够找出该假币。
A、3
B、4
C、5
D、6
查看答案
试题参考答案:B
试题4
两个串相等的充分必要条件是( ) 。查看答案
试题参考答案:C
试题5
某企业拟开发一个企业信息管理系统,系统功能与多个部门的业务相关。现希望该系统能够尽快投入使用,系统功能可以在使用过程中不断改善。则最适宜采用的软件过程模型为( )。查看答案
试题参考答案:C
试题6
编译器将频繁使用的临时变量(如循环计数器)优化到( )中,可以提升访问速度。查看答案
试题参考答案:D
试题7
下图所示为一个有限自动机(其中,A是初态、C是终态),该自动机识别的语言可用正规式( )表示。
A.(0|1)*01
B.1*0*10*1
C.1*(0)*01
D.1*(0|10)*1*
查看答案
试题参考答案:A
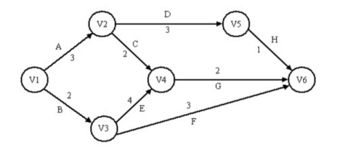
试题8
下图是一个软件项目的活动图,其中顶点表示项目里程碑,连接顶点的边表示包含的活动。边上的权重表示活动的持续时间(天),则完成该项目最少时间(1)天。在其他活动都按时完成的情况下,活动C最多可以晚(2)天可以不影响工期。
查看答案
试题参考答案:C、B
试题9
在面向对象软件开发过程中,采用设计模式( )。
A.以复用成功的设计
B.以保证程序的运行速度达到最优值
C.以减少设计过程创建的类的个数
D.允许在非面向对象程序设计语言中使用面向对象的概念
查看答案
试题参考答案:A
试题10
(1 ) 设计模式能够动态地给一个对象添加一些额外的职责而无需修改此对象的结构;(2 )设计模式定义一个用于创建对象的接口,让子类决定实例化哪一个类;欲使一个后端数据模型能够被多个前端用户界面连接,采用(3 ) 模式最适合。
(1)A.组合(Composite)
B. 外观(Facade)
C.享元(Flyweight)
D.装饰器(Decorator)
(2)A.工厂方法(Factory Method)
B. 享元(Flyweight)
C.观察者( Observer)
D.中介者(Mediator)
(3)A.装饰器(Decorator)
B. 享元(Flyweight)
C.观察者( Observer)
D.中介者(Mediator)
查看答案
试题参考答案:D、A、D
温馨提示:因考试政策、内容不断变化与调整,JRS直播提供的以上信息仅供参考,如有异议,请考生以权威部门公布的内容为准!
相关推荐