JRS直播每日一练
软件设计师 - 每日一练 导航

软件设计师每日一练试题(2025/11/9)

2025年11月10日来源:JRS直播 作者:cnitpm

软件设计师当天每日一练试题地址:www.fzyzx.cn/exam/ExamDay.aspx?t1=4

往期软件设计师每日一练试题汇总:www.fzyzx.cn/class/27/e4_1.html

软件设计师每日一练试题(2025/11/9)在线测试:www.fzyzx.cn/exam/ExamDay.aspx?t1=4&day=2025/11/9

点击查看:更多软件设计师习题与指导

软件设计师每日一练试题内容(2025/11/9)

  • 试题1

    若每一条指令都可以分解为取指、分析和执行三步。已知取指时间t取指=5△t,分析时间t分析=2△t,执行时间t执行=5△t。如果按顺序方式从头到尾执行完500 条指令需(1)△t。如果按照[执行]k、[分析]k+1 、[取指]k+2重叠的流水线方式执行指令,从头到尾执行完500 条指令需(2)△t。
    (1)A、5590
    B、5595
    C、6000
    D、6007
    (2)A、2492
    B、2500
    C、2510
    D、2515

    查看答案

    试题参考答案:C、C

    试题解析与讨论:www.fzyzx.cn/exam/ExamDay.aspx?t1=4&day=2025/11/9

  • 试题2

    The project workbook is not so much a separate document as it is a structure imposed on the documents that the project will be producing anyway.
    All the documents of the project need to be part of this ( ). This includes objectives ,external specifications , interface specifications , technical standards , internal specifications and administrative memoranda(备忘录).
    Technical prose is almost immortal. If one examines the genealogy ( Ff ) of a customer manual for a piece of hardware or software , one can trace not only the ideas , but also many of the very sentences and paragraphs back to the first (请作答此空) proposing the product or explaining the first design. For the technical writer, the paste-pot is as mighty as the pen.
    Since this is so, and since tomorrow's product-quality manuals will grow from today’s memos, it is very important to get the structure of the documentation right. The early design of the project ( ) ensures that the documentation structure itself is crafted, not haphazard. Moreover, the establishment of a structure molds later writing into segments that fit into that structure.
    The second reason for the project workbook is control of the distribution of ( ). The problem is not to restrict information, but to ensure that relevant information gets to all the people who need it.
    The first step is to number all memoranda, so that ordered lists of titles are available and h worker can see if he has what he wants. The organization of the workbook goes well beyond this to establish a tree-structure of memoranda. The ( ) allows distribution lists to be maintained by subtree, if that is desirable.
    A.objective
    B.memoranda
    C.standard
    D.specification

    查看答案

    试题参考答案:B

    试题解析与讨论:www.fzyzx.cn/exam/ExamDay.aspx?t1=4&day=2025/11/9

  • 试题3

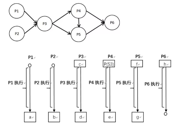
    进程P1、P2、P3、P4、P5和P6的前趋势图如下所示,若用PV操作控制进程P1、P2、P3、P4、P5和P6并发 执行的过程,则需要设置7个信号量S1、S2、S3、S 4、S5、S6和S7,且信号量S1~S7的初值都等于零。

    P 1—P6的进程执行图中,a和b处应分别填写(  );c 和d处应分别填写(  );e和f处应分别填写(  );g 和h处应分别填写(  )  

    问题1
     A.V(S1)和V(S2)
     B.P(S1)和P(S2)
     C.P(S1)和V(S2)
     D.V(S1)和P(S2)
    问题2
     A.P(S1)P(S2)和P(S3)和P(S4)
     B.V(S1)V(S2)和V(S3)和V(S4)
     C.P(S1)P(S2)和V(S3)和V(S4)
     D.V(S1)V(S2)和P(S3)和P(S4)
    问题3
     A.P(S5)P(S6)和P(S4)和P(S5)
     B.V(S5)V(S6)和V(S4)和V(S5)
     C.P(S5)P(S6)和V(S4)和V(S5)
     D.V(S5)V(S6)和P(S4)和P(S5)
    问题4
     A.P(S7)和P(S6)P(S7)
     B.V(S7)和P(S6)P(S7)
     C.P(S7)和V(S6)V(S7)
     D.V(S7)和V(S6)V(S7)

    查看答案

    试题参考答案:A、C、D、B

    试题解析与讨论:www.fzyzx.cn/exam/ExamDay.aspx?t1=4&day=2025/11/9

  • 试题4

    假设铁路自动售票系统有n个售票终端,该系统为每个售票终端创建一个进程Pi(i=1,2,…,n)管理车票销售过程。假设Tj(j=1,2,…,m)单元存放某日某趟车的车票剩余票数,Temp为Pi进程的临时工作单元,x为某用户的购票张数。Pi进程的工作流程如下图所示,用P操作和Ⅴ操作实现进程间的同步与互斥。初始化时系统应将信号量S赋值为(24)。图中(a)、(b)和(c)处应分别填入(25)。

    A.n-1
    B.0
    C.1
    D.2
    A.V(S)、P(S)和P(S)
    B.P(S)、P(S)和V(S)
    C.V(S)、V(S)和P(S)
    D.P(S)、V(S)和V(S)

    查看答案

    试题参考答案:C、D

    试题解析与讨论:www.fzyzx.cn/exam/ExamDay.aspx?t1=4&day=2025/11/9

  • 试题5

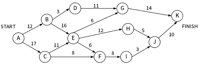
    下图是一个软件项目的活动图,其中顶点表示项目里程碑,连接顶点的边表示包含的活动,则一共有(7)条关键路径,关键路径长度为(8) 。

    (7)
    A.2
    B.4
    C.3
    D.1
    (8)
    A.48
    B.55
    C.30
    D.46

    查看答案

    试题参考答案:B、B

    试题解析与讨论:www.fzyzx.cn/exam/ExamDay.aspx?t1=4&day=2025/11/9

  • 试题6

    在程序运行过程中,CPU 需要将指令从内存中取出并加以分析和执行。CPU 依据( )来区分在内存中以二进制编码形式存放的指令和数据。
    A.指令周期的不同阶段
    B.指令和数据的寻址方式
    C.指令操作码的译码结果
    D.指令和数据所在的存储单元

    查看答案

    试题参考答案:A

    试题解析与讨论:www.fzyzx.cn/exam/ExamDay.aspx?t1=4&day=2025/11/9

  • 试题7

    (  )开发过程模型最不适用开发初期对软件需求缺乏准确全面认识的情况。
     A.瀑布
     B.演化
     C.螺旋
     D.增量

    查看答案

    试题参考答案:A

    试题解析与讨论:www.fzyzx.cn/exam/ExamDay.aspx?t1=4&day=2025/11/9

  • 试题8

    开发专家系统时,通过描述事实和规则由模式匹配得出结论,这种情况下适用的开发语言是( )。
    A、面向对象语言
    B、函数式语言
    C、过程式语言
    D、逻辑式语言

    查看答案

    试题参考答案:D

    试题解析与讨论:www.fzyzx.cn/exam/ExamDay.aspx?t1=4&day=2025/11/9

  • 试题9

    某类图如图所示,下列选项错误的是(  )。

    A.一个A1的对象可能与一个A2的对象关联
    B.一个A的非直接对象可能与一个A1 的对象关联
    C.类B1的对象可能通过A2与C1的对象关联
    D.有可能A的直接对象与B1的对象关联

    查看答案

    试题参考答案:D

    试题解析与讨论:www.fzyzx.cn/exam/ExamDay.aspx?t1=4&day=2025/11/9

  • 试题10

    Low-code and no code software development solutions have emerged as viable and convenient alternatives to the traditional development process.
    Low-code is a rapid application development (RAD) approach that enables automated code generation through(71) building blocks like drag-and-drop and pull-down menu interfaces.This (72) allows low-code users to focus on the diferentiator rather than the common denominator of programming. Low-code is a balanced middle ground between manual coding and no-code as its users can still add code over auto-generated code.While in low-code there is some hand holding done by developers in the form of scripting or manual coding, no-code has a completely (73) approach, with 100% dependence on visual tools.
    A low-code application platform (LCAP)——also called a low-code development platform (LCDP)——contains an integrated development environment (IDE) with (74) features like APIs, code templates, reusable plug-in modules and graphical connectors to automate a significant percentage of the application development process.LCAPs are typically available as cloud-based Platform-as-a-Service (PaaS) solutions.
    A low-code platform works on the principle or lowering complexity by using visual to and techniques like  process modeling. where users employ visual tools to define workflobusiness rules, user interfaces and the like.Behind the scenes, the complete workflovautomatically converted into code. LCAPs are used predominantly by professional developeautomate the generic aspects of coding to redirect effort on the last mile of (75).
    (71)
    A.visual
    B.component-based
    C.object-oriented
    D.structural
    (72)
    A.block
    B.automation
    C.function
    D.method
    (73)
    A.modern
    B.hands-off
    C.generic
    D.labor-free
    (74)
    A.reusable
    B.built-in
    C.existed
    D.well-known
    (75)
    A.delivery
    B.automation
    C.development
    D.success

    查看答案

    试题参考答案:A、B、B、B、C

    试题解析与讨论:www.fzyzx.cn/exam/ExamDay.aspx?t1=4&day=2025/11/9

温馨提示:因考试政策、内容不断变化与调整,JRS直播提供的以上信息仅供参考,如有异议,请考生以权威部门公布的内容为准!

分享至:

JRS直播 - 信息系统项目管理专业网站

下载APP-在线学习