2021年07月29日来源:JRS直播 作者:cnitpm
网络工程师当天每日一练试题地址:www.fzyzx.cn/exam/ExamDay.aspx?t1=8
往期网络工程师每日一练试题汇总:www.fzyzx.cn/class/27/e8_1.html
网络工程师每日一练试题(2021/7/28)在线测试:www.fzyzx.cn/exam/ExamDay.aspx?t1=8&day=2021/7/28
点击查看:更多网络工程师习题与指导
网络工程师每日一练试题内容(2021/7/28)
试题1: 可以用数字信号对模拟载波的不同参量时行调制,下图所示的调制方式称为( )
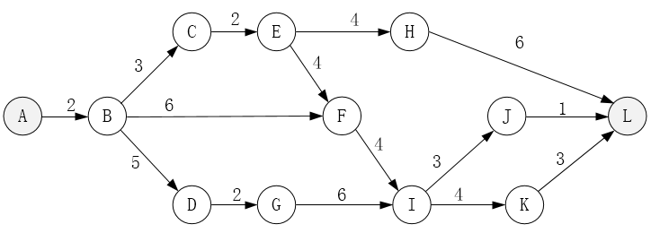
某软件项目的活动图如下图所示,其中顶点表示项目里程碑,连接顶点的边表示包含的活动,边上的数字表示活动的持续天数,则完成该项目的最少时间为(9)天。活动EH和IJ的松弛时间分别为(10)天。

SNMPv1的管理信息结构定义的应用数据类型time ticks的单位是 ( ) 。
A、1秒
B、0.1秒
C、0.01秒
D、1毫秒
当接收邮件时,客户端与 POP3 服务器之间通过(1 )建立连接,所使用的端口是(2 )。
(1)A.UDP
B.TCP
C.HTTP
D.HTTPS
(2)A.25
B.52
C.1100
D.110
N-ISDN有两种接口:基本速率接口(2B+D)和基群速率接口(30B+D),有关这,两种接口的描述中,正确的是 ( ) 。
A、基群速率接口中,B信道的带宽为16Kb/s,用于发送用户信息
B、基群速率接口中,D信道的带宽为16Kb/s,用于发送信令信息
C、基本速率接口中,B信道的带宽为64Kb/s,用于发送用户信息
D、基本速率接口中,D信道的带宽为64Kb/s,用于发送信令信息
温馨提示:因考试政策、内容不断变化与调整,JRS直播提供的以上信息仅供参考,如有异议,请考生以权威部门公布的内容为准!
相关推荐