2012年06月25日来源:JRS直播 作者:cnitpm
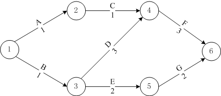
某工程包括A,B,C,D,E,F,G七个作业,各个作业的紧前作业、所需时间、所需人数如下表所示。
作业所需时间和人员表
|
工作 |
A |
B |
C |
D |
E |
F |
G |
|
紧前工作 |
- |
- |
A |
B |
B |
C、D |
E |
|
所需时间(周) |
1 |
1 |
1 |
3 |
2 |
3 |
2 |
|
所需人数 |
5 |
9 |
3 |
5 |
2 |
6 |
1 |
该工程的计算工期为:
A.7周
51.上题中,按上述工期,整个工程至少需要人:
A.9人
解析:
根据试题给出的表格,我们画出下图所示的网络图:

工作安排的甘特图如下:

在不推迟工期的情况下,关键路径上的作业B-D-F不得变动。因此坐标分别为B(0,1)、D(1,4) 、F(4,7)。
非关键路径上的活动A、C必须在作业F之前安排,即在(0,4)安排。作业E和G必须依次在作业B后安排,即在(1,7)安排。
为减少工程人数,作业需要人数按上图统计发现,最少需要10人。
所以答案:
50.答案:A。
51.答案:B。
温馨提示:因考试政策、内容不断变化与调整,JRS直播提供的以上信息仅供参考,如有异议,请考生以权威部门公布的内容为准!
相关推荐