2012年04月17日来源:JRS直播 作者:cnitpm
引言
前两天一个朋友给我打电话,问我如何估计项目开发时间。对此我很诧异,问他以前他们是怎么估计的,他说以前基本都是大家开个会,大约都说说自己意见,最后负责人一拍脑袋,给出一个时间。不过这次遇到一个非常认真的客户,要求不但要估计出项目开发时间,还要明确说明具体的依据和估算方法,这下我这朋友有点犯难,才询问我。后来我翻阅了一些数理统计和项目估算方面的资料,告诉了他利用一元线性回归分析估计软件项目开发时间的方法。想到这种估算需要在一些开发团队很常见,所以在这里整理成文。
问题的定义及数学模型
这里我们仅考虑比较简单的一元回归问题,即通过单一的Proxy预测项目开发时间。这里先说一下什么叫Proxy。Proxy叫做代理变量,简单来说就是估计项目开发时间的数理依据。说白了,就是我们预测开发时间,总要有个根据,例如需求中用例个数、概要设计中的实体个数、数据库中的表的数量等等。设Proxy为x,项目开发时间为y,那么可以得到y=f(x),学过初等数学的都可以看懂,就是说开发时间是Proxy的一个函数,如果我们既知道了新项目的x,又知道函数f,那么y就出来了。可惜天下哪有这么好的事,我们现在既不知道f,又不知道x,别说x的值了,甚至我们都不知道该用哪个Proxy做x。
不过也不必悲观,经过上面分析,我们至少明确了我们奋斗的方向:
1、找出候选的Proxy。
2、选择最合适的Proxy作为x。
3、得到x的值。
4、确定函数f。
5、得出y。
下面我们一步一步解决各个问题。
找出候选的Proxy
虽然一个项目的特征量很多,不过可不是随便一个特征量都可以当做Proxy的。要成为Proxy,至少要满足如下四个条件。
1)Proxy的值应该和工作量紧密相关。
这个不用多解释了吧,就是说Proxy的值和y的值要有相关性。关于“相关性”的概念这里先定性说一下,定量分析后续会讲到。
2)Proxy应该是能明确得出值的,没有二义性。
这是说Proxy应该对应一个明确数值,是一就是一,是二就是二,不能取“不错”、“挺多”这种值。
3)Proxy应该在项目开始阶段可以得出或能较精确估计出。
这个开始阶段最晚不能晚于概要设计,因为估算都是一开始进行,所以Proxy一定要在起始阶段就能得出,否则项目结束了谁还搞估算,实际值都出来了。
4)Proxy对于不同的实施方案是敏感的。
就是说当开发方法、开发过程等因素变化时,Proxy应该具有一定的敏感性。
经过上述分析,我想选用什么作为Proxy大家心里都有点谱了。一般来说,在估算时常被作为Proxy的有需求分析中用例数量、需求分析中功能模块数量、概要设计中实体数量和数据库设计中表的数量。当然,各位也可以根据上述要求选择自己的Proxy。在本文中,我们暂且选择用例数量、实体数量和表数量三个Proxy作为候选。
选择最合适的Proxy作为x
这里所谓的“最合适”,在数学上的意义就是和开发时间y的相关性最强。那么什么是相关性呢,从直观意义上,两个变量的相关性是指两个变量关联的紧密程度,数学上可以用相关系数表示。相关系数计算公式如下:
至于这个公式为什么能反映出两个变量的相关性,可以去参考高等数理统计相关资料,本文不再赘述,只是顺便说一下,r的范围在-1~1之间,绝对值越大代表相关性越强,如果为正值则表示两个变量正相关,否则为负相关。知道了这个,我们这一步骤的目的就是找出候选Proxy中与y相关系数最大的作为x。
不过,这数据从哪里来呢?这就要从以前做过的项目中提取了。查阅朋友所在团队最近做过的5个项目的数据资料(这里当然历史项目越多越好,不过笔者这个朋友的团队只有5个项目的记录),得到如下数据:
项目工期(y): 424 267 90 331 160 (人时)
用例数量(x1): 37 20 6 18 12
实体数量(x2): 15 9 4 11 14
数据表数量(x3): 25 18 7 16 18
下面就是计算各个相关系数了,计算相关系数是一项机械且乏味的活动,一般都会交由相应的工具去完成。不过您要是感兴趣,也可以自己代入上述公式手算。下图是我用Excel计算的结果:

图1
一般来说,|r|大于0.7就有很好的相关性了,而从计算结果可以看出,用例数量x1和工期y的相关系数达到0.93,最为优秀,而数据表数量x3也达到0.83,唯有实体数量x2的相关系数仅为0.65,质量较差。因为|r(x2,y)|<0.7,所以这里首先排除掉。
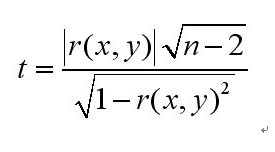
到了这里似乎我们可以顺利成章选择x1作为最终Proxy,但是还有一点要考虑,就是显著性。所谓显著性就是在偶然情况下得到此结果的概率,如果显著性不足,说明这个结果不可靠。显著性t值的计算公式如下:

因为n=5,这里自由度为3,然后查询t分布表,得到95%预测区间为3.182。因为一般显著性<0.05则认为显著性较好,所以如果t的值大于3.182,我们则可以接受。不过如果使用工具的话,一般可以用t检测直接得出显著性,这里我用Excel得到r(x1,y)的显著性为0.006,r(x3,y)的显著性为0.007(如图2所示),都远小于0.05,显著性均非常好。所以根据择优录取原则,我们选择x1需求文档中用例数量作为预测Proxy。
[1] [2]
温馨提示:因考试政策、内容不断变化与调整,JRS直播提供的以上信息仅供参考,如有异议,请考生以权威部门公布的内容为准!